二次方程式
戻る


二次方程式は次の3つの解き方があります
@因数分解
A1次式の2乗=数字
B解の公式


因数分解

まず二次式=0の形にします
次に左辺を因数分解します
左辺は2つの1次式の積になっているはずです。どちらかが0ですから、そこから答を導きます
(x-3)(x+6)=0 まで出来れば、x=3,-6 です。x=-3,6 とする惜しいミスに注意しましょう


1次式の2乗と数字だけの等式

x2=7、 (x+3)2=8、 (x-4)2-7=0、 (2x-4)2-7=0、  等は全て1次式の2乗と数字だけの等式です
これらの場合は、[1次式の2乗]=[数字]と変形できるので、[その1次式]=[その数字の平方根]と1次方程式に成ってしまうので解けます。
例:(x-4)2-7=0 → (x-4)2=7 → x-4=±√7 → x=4±√7
ここまでは全員使えるようにしましょう。

x2+bx+c=0 において、下線部は (x+b/2)2-(b/2)2 と等しいため、 これに置き換える事ができます。すると1次式の2乗と数字だけの等式に成るため先の手法で 解けます。下線部をそれと置き換える事を覚えるのが肝です。  例:x2-3x-8=0 → (x-3/2)2-9/4-8=0 →  (x-3/2)2=41/4 → 
(x-3/2)=±(√41)/2 → x=3/2±(√41)/2


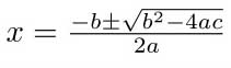
解の公式

ax2+bx+c=0 の形の二次方程式の解はです
aが 1/2 ならばx=と簡単な式になるので、そう変形した方が楽の事場合があります
a=1,bが2の倍数、cが整数の場合です。例えば x2+4x-7=0 はそのまま上の公式で 解くより、
(1/2)x2+2x-7/2=0 と変形して下の式を使ったほうがミスが減ります。それがコツです